Structural Estimates of Human Computation
Some back of the envelope math
This weekend I decided to do some back of the envelope math to estimate what human brain capacity might be when converted into flops (floating point operations per second). The primary reason for this was to test/investigate the structuralist intelligence hypothesis I’ve previously put forward:
Intelligence is determined by the number of code orders, or levels of sign recursion, capable of being created and held in memory by an agent.
This thesis, I’ve subsequently determined, is nothing more nor less than saying that intelligence is related to the amount of computation and memory an agent has. But this still has important consequences, including for human evolution. The Dunbar number, for example, the famous number which is the amount of real human relations people can have, the friends they can remember, was developed out of a study of human brain evolution which found a correlation between primate group size and brain size. It’s my contention that this correlation is fundamentally the result of an increasing number of signs which can be created, held in memory, and changed over time. To illustrate this, I’m going to show my math, put forward a simple equation meant to capture how much compute might be required to both process and learn signs as determined by the internal semiotic field of the agent.
First, we need an equation to tell us the number of connections between each sign as the number of signs changes. This equation is as follows, where n is number of signs:
Connections = (n*(n-1))/2
This formula gives you the number of unique pairs possible within a given set of n size, which means that it can tell us how many connections are necessary for a sign to be connected with every other sign in a semiotic field. When information is processed by a semiotic field, the sign being observed is compared to all these signs who have their meaning determined by their relative correlation and anti-correlation to all other signs, essentially activating the whole field. This is directly analogous to neural net weights which have some value between zero and one, and which must all be multiplied by some input number in order to get an output. Similarly, each of these values are appraised for changes during training. If we assume that humans both process and retrain the values of correlations and anti-correlations within the semiotic field at the same time, and this processing and retraining is connected, then we should multiply the number of connections by itself to get the computational requirements per sign input.
Computation per sign input = ((n*(n-1))/2)*((n*(n-1))/2)
But now we need to find a value for n and also convert this equation into some unit of time. To do some rough math, let’s assume that the amount of signs in a human semiotic field is about the size of their vocabulary multiplied by five, for the five senses. Estimates of vocabulary size vary from between 9,000 to about 40,0001 so I’ll assume 20,000 vocab size, coming to a semiotic field of 100,000 signs. This gives us a nice round value of 100,000 for n. To convert it into time we need a context window that we’re using to interpret signs, let’s say a book of 100,000 words which takes us ten hours to read. Now, we’re not going to use all 100,000 words to interpret the meaning of the book at once, but we will also be using signs from outside the text to interpret the meaning, so I’m just going to assume it all cancels out. Now let’s turn that into words per second, which would be 100,000/(10*60*60) or around 2.8. Considering we can count seconds with three word phrases (one one thousands), this doesn’t feel too far off to me. So now we have a nice equation to convert a semiotic field size into flops required to process signs and update the field.
Human FLOPS = ((100,000*(100,000-1))/2)*((100,000*(100,000-1))/2)*2.8
This gives us the following answer.
Human FLOPS = 7 * 10^19 or 70 ExaFLOPS
For comparison, the RTX 4090 top of the line GPU can do 1.3 * 10^15 FLOPS and the top super computer in the world can handle 1.7 *10^18 FLOPS or 1.7 Exaflops.2 From this perspective, then, perhaps it’s not so surprising that we’re beginning to see human-like behavior from the machines beginning to emerge.
Another way we can estimate the upper bound of human compute is through the use of Landauer heat, which is the amount of heat created by deleting a bit of information, such as when using traditional logic gates. The human brain is about 2 degrees fahrenheit hotter than the rest of the body, or about 1 degree kelvin. Paul Cockshott estimates that at room temperature the Landauer energy created by a single AND gate would be 3.4 * 10^-21 joules.3 Since the brain is mostly water, we can use the following equation I pulled to estimate the joules being produced by the brain in excess of ordinary body heat, as an upper bounds of its Landauer heat.
Q = c_P m ΔT |
Q | heat transferred
m | mass
c_P | isobaric specific heat capacity
ΔT | temperature difference
(assuming standard pressure)
The isobaric specific heat capacity of water, which the human body is mostly made of, is 4.18 J/gK, the brain has a mass of 1,375 grams, and the temperature difference is 1 kelvin. So we get the following equation.
Q = 4.18*1,375*1
Which gives us the following answer:
Q = 5,747.5 joules
To convert this into an equivalent amount of logical operations, we’ll just divide it by 3.4 * 10^-21, which gives us:
Human Logical Operations = 1.7 * 10 ^ 24.
This is close to the amount of logical operations found in other studies that use Landauer heat to estimate brain compute, which range from 10^22 to 10^23. My slightly higher number may come from the fact that the temperature of the brain was found to be significantly higher than previously assumed in a 2022 study4 I used for my math, although I haven’t dug too deeply into the methods for these other studies.
But we can’t stop here. It takes multiple logic gates to perform a floating point operation and the clock speed will also determine how many are done per second. Nvidia’s V100 datacenter GPU can do 1 FLOP per 200,000 transistors per second5. Assuming the brain requires a similar amount of logical operations to do a floating point operation, this gives us the following result once we account for it:
Human FLOPS = (1.7 * 10 ^ 24)*(1/200,000)
Human FLOPS = 8.5 * 10 ^ 18
This is a remarkably close convergence between the two estimates and these estimates broadly agree with the academic consensus, which puts the human brain at between 10^13 to 10^28 FLOPS6 using a variety of different methods. I believe therefore, that the proper amount of FLOPS the human brain of capable falls in the more narrow range identified here, of 1*10^18 to 9*10^19. The level of cutting edge super computers today.
To return to Dunbar for a moment, the fundamental dynamics of the structural intelligence thesis may provide a good explanation for his findings. One thing which distinguishes humans from other primates is our exceptionally large neocortex, to find the origin for this anomaly, Dunbar correlated the size of the neocortex as a ratio to various primate characteristics. Diet, skills in foraging and range size were all not correlated, but the group size of the primates were.7
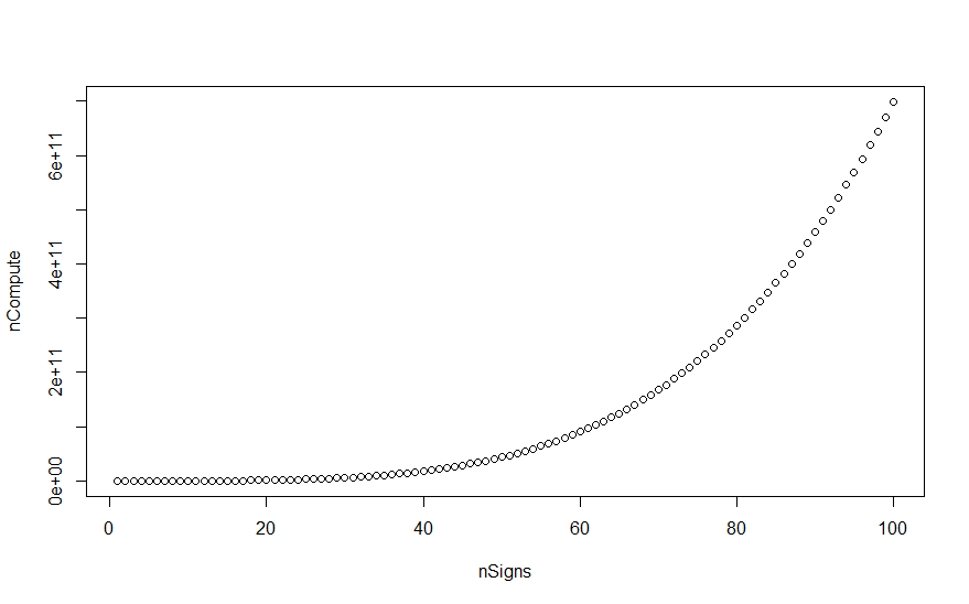
This correlation suggested there was something about the size of primate societies which led to the development of the human brain. Humans have complex social relations, we must treat each of our kin as individuals, and our relationship with one individual will likely affect our relationships with the rest of the group. One prominent sign in the world of primates, including modern humans, is therefore the name of individuals we’re associated with. The meaning of this sign, just who a person is to you, reflects various aspects of their personality, their appearance and physicality, their relationship to you, and their relationship to others. And, as the equation for the number of connections between signs in a semiotic field suggests, the larger the group you have to manage complex social relationships, the exponentially more compute is required. I try to estimate the amount of compute required per primate group size in the graph below, where each sign for the individual is multiplied by 10 to capture their various attributes and characteristics. Certainly, primates with smaller neo-cortexes are still quite intelligent creatures capable of doing lots of things, but the exponential change matters quite a bit here. A complex social group of 25 requires 1000x less compute than a complex social group of 100.
Of course, humans and primates process all sorts of other information besides social relationships, and the emergence of language as a communication tool likely requires the several orders of magnitude growth of biological compute in order to get the large vocabulary we have today.
Another interesting fact when applying this math is that we can also modify it a bit to estimate the number of possible meanings a particular sign can adopt based on the size of the semiotic field and the context window. The meaning of a particular sign, after all, is modified both by the semiotic field in your head correlating signs together, as well as the particular context in which the sign is received as an input. With a given semiotic field, even a static one like LLMs, the potentialities for the sign for the self, or the sign for the real, are incredibly large.
Possible Meanings = ((n*(n-1))/2)^(C-1)
Where C is the number of signs in the context window, and the -1 is to account for the sign whose meaning we’re appraising. The size of the numbers we’re talking about are truly beyond astronomical here. The amount of possible meanings an ordinary human can comprehend likely can’t be listed in any practical way, even for a superintelligent AI. What’s the significance of that? I don’t know. I just figured it was interesting enough to share. For sure, future AIs with access to more compute and memory than humans will be able to articulate, know, and operationalize more concepts and signs than we can. And yet, given the sheer number of human meanings already possible, it’s difficult to see what this would mean in practice. A further complication here is the role of grammar. Previously I’ve talked about grammar as a sign for an operation, and therefore a higher order sign. The equation for possible meanings requires the arbitrary combination and repeatability of concepts creating meaning in of themselves, although it seems that this may not always be the case. Some combinations of words and concepts may all blend together, after all.
Regardless, I feel it was worth providing a more firm mathematical foundation to my conjectures about semiotics and intelligence.
Brysbaert M, Stevens M, Mandera P, Keuleers E. How Many Words Do We Know? Practical Estimates of Vocabulary Size Dependent on Word Definition, the Degree of Language Input and the Participant’s Age. Front Psychol. 2016 Jul 29;7:1116. doi: 10.3389/fpsyg.2016.01116. PMID: 27524974; PMCID: PMC4965448.
“June 2025 | TOP500.” 2025. Top500.org. 2025. https://www.top500.org/lists/top500/2025/06/.
Cottrell, Allin F, Paul Cockshott, Gregory John Michaelson, Ian P Wright, and Victor Yakovenko. 2009. Classical Econophysics. Routledge. pg 36
Rzechorzek, Nina M, Michael J Thrippleton, Francesca M Chappell, Grant Mair, Ari Ercole, Manuel Cabeleira, Jonathan Rhodes, Ian Marshall, and John S O’Neill. 2022. “A Daily Temperature Rhythm in the Human Brain Predicts Survival after Brain Injury.” Brain 145 (6): 2031–48. https://doi.org/10.1093/brain/awab466.
“For example: a V100 has about 2e10 transistors, and a clock speed of ~1e9 Hz. A naive mechanistic method estimate for a V100 then, might budget 1 FLOP per clock-tick per transistor: 2e19 FLOP/s. But the chip’s actual computational capacity is ~1e14 FLOP/s – a factor of 2e5 less.” “How Much Computational Power Does It Take to Match the Human Brain? | Open Philanthropy.” 2024. Open Philanthropy. November 15, 2024. https://www.openphilanthropy.org/research/how-much-computational-power-does-it-take-to-match-the-human-brain.
Ibid; “Brain Performance in FLOPS.” 2015. AI Impacts. July 26, 2015. https://aiimpacts.org/brain-performance-in-flops/.
Dunbar, R.I.M. (1998), The social brain hypothesis†. Evol. Anthropol., 6: 178-190. https://doi.org/10.1002/(SICI)1520-6505(1998)6:5<178::AID-EVAN5>3.0.CO;2-8



